中国煤炭新闻网

灰色系统理论在韩王矿最大涌水量预测中的应用
2019-04-29  出处:煤客网  煤客新闻网  煤矿网  来源:网络   人气:0   

(i) (k∈IN)  
  则x(1)(t)(t∈IN),即为x(0)(t)的一次累加生成序列.

2.2 GM(1,1)模型建立
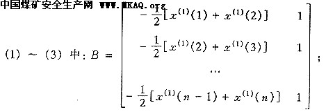
  根据灰色控制系统理论对于一次累加生成序列x(1)(k)(k∈IN)有以下关系及算式:
  (1)微分方程:339-2.gif (403 bytes)
  (2)参数列:339-3.gif (287 bytes)
  (3)参数算式:339-4.gif (442 bytes)   339-5.gif (2977 bytes)
 
       μ

 2/2   首页 上一页 1 2

  • 最新文章
  • 热门文章