,v)在平面C上的投影就构成了分叉集,它是所有使得状态变量产生突跳突变的点的集合,分叉集方程由式(3)、(4)联立并消去x,即得到:

图2 平衡曲面和控制变量平面
由图2可知,当u≤0时才有跨越分叉集的可能,所以系统发生突跳的一个必要条件是:u≤0。
当控制变量u,v满足分叉集方程时,系统则处于突跳前的临界状态,所以可得到系统发生突变的充分条件(临界条件)。
系统中某些因素的变化将会导致u,v的改变。利用图2可以对系统的演化途径作一些定量分析。
2.2 煤与瓦斯发生突出机制
综合作用假说认为突出是地应力、瓦斯压力和煤的物理力学性质综合作用的结果。资料表明,物理力学性质方面具备能够形成突出的煤体在地应力的作用破坏下是煤与瓦斯突出发生的一个必要条件但不是充分条件,原因是地应力破坏煤体后如果煤体的裂纹或裂隙中没有足够的瓦斯压力,裂纹或裂隙就不会大面积地扩展,暴露面附近已被地应力破坏的煤体也不会被抛出,即突出不会发生,且被破坏的煤体仅承受一定应力,动态的应力场将会慢慢地形成静态应力场,这样暴露面也将慢慢地处于稳定状态,煤体内部的瓦斯气体将以较为缓慢的速度向井巷释放。但是如果煤体在地应力作用下破坏后能较快地释放足够的瓦斯量并形成积聚,从而形成较高的瓦斯压力,撕裂煤体,从而使得煤体被抛出,这样煤与瓦斯突出就发生了。
2.3 煤与瓦斯突出发生的力学条件
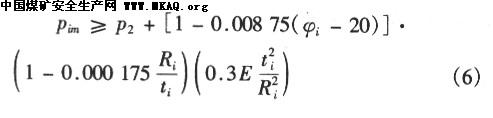
根据M. M. Leven提出的球盖失稳的经验公式,可推出煤与瓦斯发生突出现象的力学条件为
式(6)的使用条件是:?i=20o~60o,Ri/ti=400~200。
式中:Pim为煤壳后部裂隙内积聚的最大瓦斯压力,MPa;i为球盖状煤壳的边缘与煤壳的曲率中心构成的中心角的一半;E为煤体的弹性模量,MPa;E为煤壳的厚度,m;Ri为煤壳的曲率半径,m;p2为煤壳外部作用的气压,MPa。
令式(6)的右边部分为P1,则煤与瓦斯突出的安全力学条件为:Pim≤P1。
由此可以得出:煤与瓦斯突出所能承受的安全受力与煤壳的厚度、煤壳的曲率半径、煤壳的外部作用气压、煤体的弹性模量,以及球盖状煤壳的边缘与煤壳的曲率中心构成的中心角等有关。
2.4 构造突变势函数
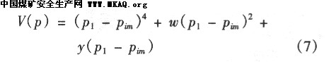
发生煤与瓦斯突出前,影响其发生的一个或多个因素是在变化的,一直达到临界点,这段过程是突出的量变过程;达到临界点后,当某一个或多个影响因素向有利于突出发生的方向变化时,就发生了突出,这一过程是突出的质变过程;从量变到质变,必定存在着一个突变。
现在构造两个函数:w(?i,Ri)和y(E,ti,P2),其中w是单调减小的;y是分段函数;当P1-Pim>0时,单调增加,当P1-Pim<0时,单调减小(P>im为实际瓦斯压力)。煤与瓦斯突出可以适合尖点突变模型,则其突变势函数为
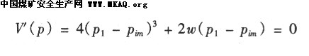
由式(7)对(P1-Pim)求导,可得到平衡曲面M的方程:
突变点集(奇点集)方程S为
分叉集方程口为
3 突变理论对煤与瓦斯突出