摘要:瓦斯爆炸传播规律是分析爆炸破坏效应继而研发抑爆减灾装置和措施的基础。在大量典型实验总结和理论分析的基础上,分析瓦斯爆炸火焰波和前驱冲击波的传播规律及其衰减规律的相似性,即先加速后再减速传播。最终火焰波以正常层流预混气体燃烧速度传播,前驱冲击波衰减为声波。另外,实际参与反应的瓦斯量是影响瓦斯爆炸火焰波传播规律认识的重要因素。
关键词:瓦斯爆炸;衰减;火焰波;冲击波
煤矿瓦斯爆炸是影响煤矿安全生产最主要的灾害事故。根据事故统计数据,瓦斯爆炸事故主要发生在采煤工作面和掘进工作面附近。基于此,讨论积聚在独头巷道闭口端的瓦斯一空气爆炸性混合气体在点火源作用下的瓦斯爆炸传播,并不向爆轰转变,涉及瓦斯爆炸火焰波和前驱冲击波的传播及衰减规律。
1 理论分析
研究的物理模型如图1所示。
图1 煤矿瓦斯爆炸物理分析模型
冲击波和强爆轰渡不能自持传播,要靠后方活塞驱动,才能维持一定的波速。一旦活塞减速甚至停止运动,从活塞界面发出的稀疏波赶上冲击波阵面,使它衰减下来。对于冲击渡怎样衰减为声波的严格解析研究非常困难,但可以利用根据渡强度变化方程推导出的冲击渡渡阵面上物理量衰减的渐近规律来分析渡衰减过程的渐近性态。
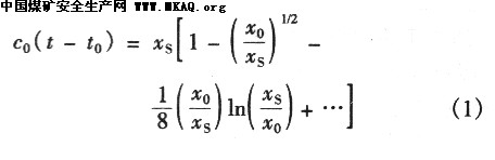
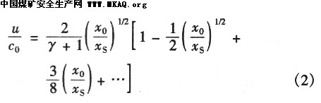
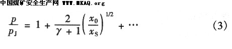
冲击渡波阵面上物理量衰减的渐近规律可表示为:



式中:u,P,ρ分别表示介质的速度、压力和密度;c和γ分别表示声速和绝热指数;下标为0的表示渡前状态,下标为J的表示CJ状态;xs和x0分别表示t和t0。时刻质点在迹线上的位置。
以式(1)为例,
平面冲击波的波阵面迹线xs离任何一条斜率为c0的直线越来越远,即xs(t)不存在任何渐近线,平面冲击波只有在时间趋于无穷大或距离趋于无穷远时才能衰减为声波。另外,在此处的分析仅仅考虑了稀疏波的弱化作用,对于煤矿井下瓦斯爆炸冲击波传播规律的研究还需要考虑流体的黏性和巷道边界作