摘要:煤体在自燃过程中,会依次释放大量的特征气体,通过对特征气体组分的研宄,根据其组分与温度对应的特点,构建了数列GM(1,1)灰色预测模型,基于这种模型理论进而研究煤火燃烧的预警系统,是攻克煤层自燃灾害的一个尝试。
关键词:煤层自燃;灰色模型;预警;特征气体
煤层自燃在我国有着广泛的分布,它不仅损失了大量的能源,而且污染环境,同时煤层自燃在煤矿生产中属于重大灾害,极易引起瓦斯煤尘爆炸等重大事故,它对矿井安全生产是个极大的威胁。科技部863科研课题《地下煤层自燃遥感与地球物理探测关键技术研究》旨在总结国内外地下煤火研究进展,重点研究地下煤火的地质条件和采空区煤火条件、遥感数据采集、三维建模和反演方法、建立煤火动态监测系统方案;课题研究区位于神华集团下属的乌达煤田,乌达矿业集团五虎山、黄白茨和苏海图3个生产矿井。
1 煤层自燃的物化效应
煤层自燃需要缺一不可的3个条件:一是具有自燃倾向的煤体;二是持续供氧的风流;三是一定的触发条件。实验表明,在太阳直射且无风条件下,含硫分较高的煤层露头在温度达到摄氏60℃的条件下,就开始一定的氧化反应,该氧化反应释放的热量进一步催化更深层次氧化的持续进行,使得煤层温度逐渐升高,直至形成燃烧。
煤层燃烧除了引起温度升高,同时还释放大量生成气体,比如CO、CO2,还有H2S、SO2等等,随着温度的升高逐渐还会有C2H6、C2H4、C3H8、C3H6等特征气体的出现。
温度自然是我们监测的一个重要指标,不过由于自燃地点的不确定性,同时一些地段(采空区等等)无法布置监测探头,正是因为监测点数量以及地点的限制,极有可能错过一些煤层自燃的前兆信息,所以除了在关键地段布控温度监测外,还需要进一步做其他方法的尝试。表1是神府东胜煤田大柳塔矿煤层煤样的实验室燃烧测定成果。揭示了该煤样的气体组分与温度的对应关系,该煤的燃点为270℃,可温度在30℃时就已经有CO开始释放,随着温度的升高,多种气体陆续释放,同一温度下气体组分比例较为固定。所以我们就可以利用气体组分的比例来推定该回风区域内煤体的温度。将采样数据储存入数据库,由灰色预测模型将一组历史数据计算出未来的预测值,从来实现煤层自燃的预警。
表1 神府东胜大柳塔矿2煤层煤样实验室燃烧结果
2 灰色预测建模原理
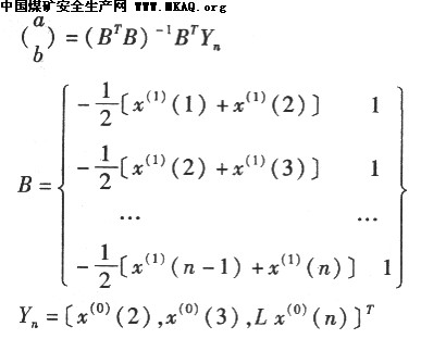
基于灰色建模理论的灰色预测法,同时根据煤层指标特点,我们以数列预测对各项气体指标的发展变化情况进行预测,其结果是该指标在同样环境下发展到未来某个时刻的数值:我们采用累加生成数列GM(1,1)模型,其中前一个“1”表示阶数,后一个“1”表示因素。GM(1,1)模型具有所需样本数量少、计算简单、可检验等优点,较实用于短期预测。
考虑到煤体燃烧是一个随时间的累计过程,我们设定序列数据:
为原始数列一次累加数列为:
其白化形式的微分方程为
这就是灰色预测模型GM(1,1),其中α,b为常数,可通过最小二乘法拟合得到。
求得α和u,我们求解式(1),得到:
式(2)即为预测公式,因为它是一次累计的预测值,需要对该值进行还原,有下式:
预测值还需要进行精度检验,如果不符合要求,还需要用残差数列进行修正,此处不再赘述。
3 预警监测系统构架
一般的瓦斯探测仪不能够检测出特征气体的含量,对C2H4、C2H6、C3H6、C3